AFDELING 5 Zuid-Holland
Nationaal inkorf Centrums
Menu
HOME
Home
Wie Wat Waar
Deze Week
Vervoer
Lossingen
Bestuur
Over Afd 5
AFDELING5
Wat is Afdeling 5 Zuid Holland?
Bestuur en Commissie's
Contact
Rekenaar Compuclub
Software Rekenprogramma's
Huishoudelijk regelementen en statuten
Verslagen
SEIZOEN 2025
Vliegprogramma 2025
Principiële Liefhebbers 2025
Ophaalroute vluchten 2025
Bekijken aantal opgegeven boxen 2025
Opgeven aantal Boxen door Verenigingen 2025
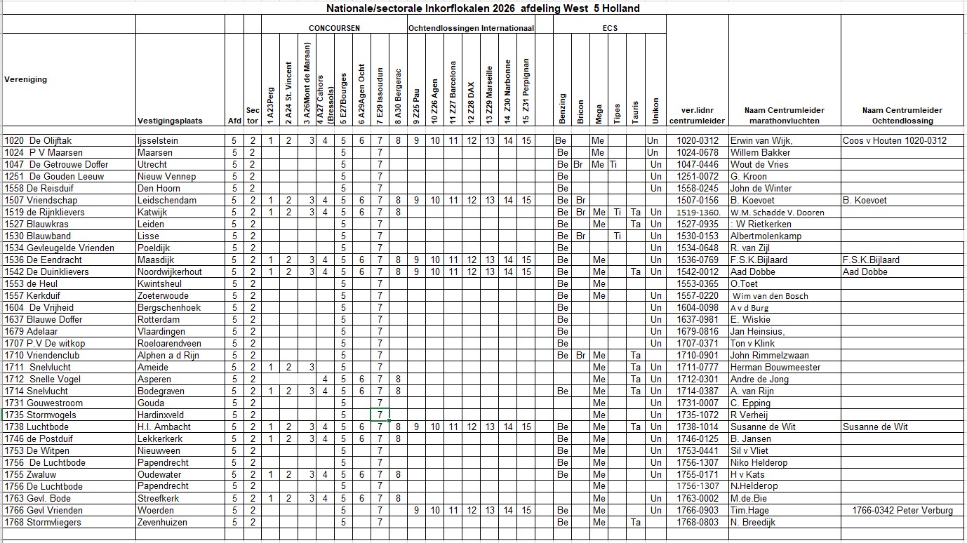
Nationaal inorfcentrums 2025
Splijtleden 2025
Infoboek afd 5 2025
Agenda
Bestellen Labels -Vrachtbrieven
N-Lijst
Protocol Covid-19 Crisis 2021
LADIES LEAGUE
SAMENSPELEN
Overzicht Samenspelen
ZH Eilanden
Westland
CC Leiden
Hoeksche Waard
Midden Holland West
Midden Holland Oost
Drechtsteden
Gouwe IJssel
Zuid Holland Oost
JEUGD
UITSLAGEN
2023
2022
2021
2020
2019
2018
2017
2016
2015
2014
2013
2012
2011
2010
INLOGGEN
Bestuur
Lossingscommissie
Concourscommissie
Vervoerscommissie
Jeugdcommissie
Lady's League
Onderhoud Verenigingen
Onderhoud Vliegprogramma
Admin